Vancouver, BC, April 10, 2024 – New Found Gold Corp. (“New Found” or the “Company”) (TSX-V: NFG, NYSE-A: NFGC) is pleased to announce the results from 51 diamond drill holes that were completed as part of a drill program designed to expand and further define domains of high-grade gold mineralization at the K2 Zone located 725m north of Lotto and 2.2km north of Keats West on the west side of the highly prospective Appleton Fault Zone (“AFZ”). New Found’s 100%-owned Queensway project comprises a 1,665 km2 area, accessible via the Trans-Canada Highway, 15km west of Gander, Newfoundland and Labrador.
K2 Highlights:

Note that the host structures are interpreted to be steeply dipping and true widths are generally estimated to be 170% to 95% and 240% to 70%. 3True widths are unknown at this time. Infill veining in secondary structures with multiple orientations crosscutting the primary host structures are commonly observed in drill core which could result in additional uncertainty in true width. Composite intervals reported carry a minimum weighted average of 1 g/t Au diluted over a minimum core length of 2m with a maximum of 4m consecutive dilution when above 200m vertical depth and 2m consecutive dilution when below 200m vertical depth. Included high-grade intercepts are reported as any consecutive interval with grades greater than 10 g/t Au. Grades have not been capped in the averaging and intervals are reported as drill thickness.
- 17.8 g/t Au over 13.45m in NFGC-23-1986, 12.7 g/t Au over 4.60m and 1.23 g/t Au over 47.20m in NFGC-23-1997, 27.7 g/t Au over 2.70m and 3.26 g/t Au over 13.85m in NFGC-23-1647, 14.5 g/t Au over 4.50m in NFGC-23-1883, and 31.2 g/t Au over 2.25m, and 26.3 g/t Au over 2.05m in NFGC-23-1962 are just a few of the highlight intervals that occur above 200m vertical that were intercepted as part of an ongoing program designed to expand and further define a central high-grade domain within the K2 structure that now spans an area measuring 180m long x 90m wide.
- K2 is a gold mineralized system made up of multiple structures and crosscutting vein orientations that currently has a defined mineralized footprint of 490m long x 395m wide. The gold mineralization begins at surface and has been drill-defined down to a maximum vertical depth of 250m (Figures 1-5), where it remains open and untested. Much of the gold at K2 is found in the “K2 Main” structure (shown in red in Figure 3), a low-angle gold-bearing fault zone starting at surface that dips 30-40° to the southeast which shares a similar dip to Keats West and strike to the Keats-Baseline Fault Zone.
- Within the overall K2 structure, there are multiple domains of high-grade gold in addition to regions with gold mineralization concentrated over broad thicknesses, typically occurring near structural intersections or areas of structural complexity. A few examples include the aforementioned central high-grade domain, as well as the previously released “Stibnite Vein” (see purple highlighted vein in Figure 3), which is located 250m up-dip and has produced several notable intervals including 3.48 g/t Au over 25.30m in NFGC-23-1783 (January 31, 2024) and 4.50 g/t Au over 12.95m in NFGC-23-1303 (August 28, 2023).
- Exploration drilling has also led to the discovery of a panel of thick gold mineralization located near to surface, a further 65m south of the central panel reported in today’s release, where highlight intervals of 3.75 g/t Au over 14.55m in NFGC-24-2010, 2.87 g/t Au over 15.35m in NFGC-23-1645, and 15.6 g/t Au over 3.05m in NFGC-23-1971 were intercepted. This panel covers an area that is currently 200m long by 60m wide and is hosted within a potentially folded and uplifted segment of the K2 structure that is sandwiched between two crosscutting gold-bearing faults. Additional notable intervals that further define this domain include 1.27 g/t Au over 19.80m in NFGC-23-2004, 1.71 g/t Au over 15.65m in NFGC-23-1951, 2.79 g/t Au over 11.60m in NFGC-23-1962, and 16.0 g/t Au over 2.50m in NFGC-23-1986.
- Additional infill results included in today’s release were completed in the up-dip, close to surface segment of the K2 structure, aimed at extending mineralization to surface. NFGC-23-1650 intercepted 4.03 g/t Au over 4.35m, 3.23 g/t Au over 9.80m, 1.82 g/t Au over 9.70m and 7.85 g/t Au over 4.75m and is 43m down dip of previously reported interval of 8.69 g/t Au over 12.25m in NFGC-23-1786 (January 31, 2024).
Melissa Render, VP of Exploration of New Found, stated: “K2 is an expansive and complex structure with a sizeable associated damage zone. Our growing understanding of this evolving zone has led to better targeting of high-grade domains and allowed us to expand on them and look for new areas that either were overstepped or found outside of the prior drill footprint. Recognizing the significance of the Glenwood Shear Zone has proven to be another important revelation, where K2 seems to have developed between it and the AFZ. This relationship is likely an important one to understand and opens the possibility that the Glenwood, like the AFZ is another conduit for channelling gold bearing fluids. Exploration will continue in the greater K2 area, both looking to extend K2 to depth, in addition to looking below it and adjacent to the Glenwood Shear Zone. Follow-up drilling is also planned on several interesting gold-bearing fault zones that were identified during our reconnaissance grid drilling program completed on the west side of the AFZ.”

^Note that these photos are not intended to be representative of gold mineralization in NFGC-23-1647 and NFGC-23-1883.




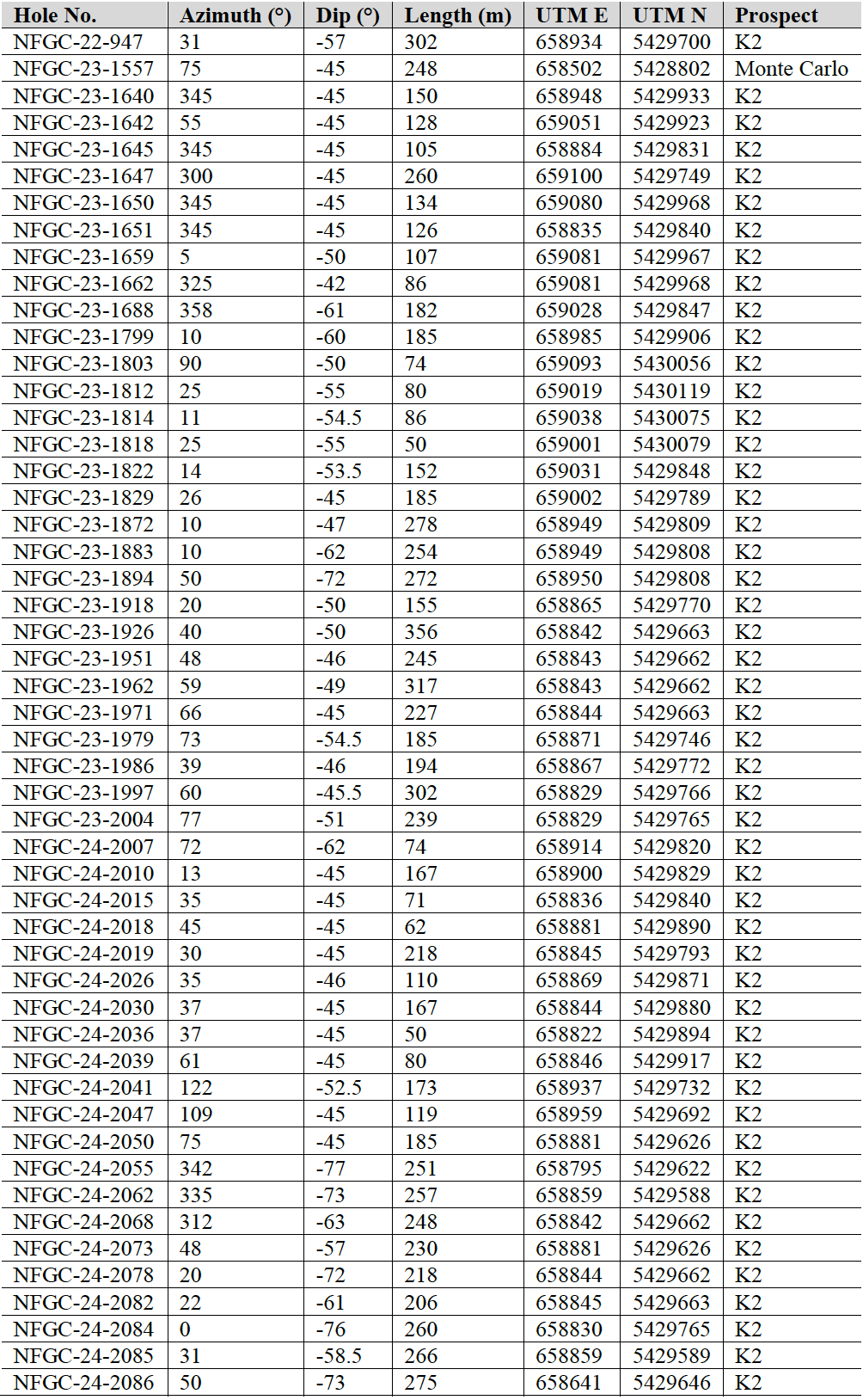
Drillhole Details



Note that the host structures are interpreted to be moderately to steeply dipping and true widths are generally estimated to be 170% to 95%, 240% to 70%, and 310% to 40% of reported intervals. 4True widths are unknown at this time. Infill veining in secondary structures with multiple orientations crosscutting the primary host structures are commonly observed in drill core which could result in additional uncertainty in true width. Composite intervals reported carry a minimum weighted average of 1 g/t Au diluted over a minimum core length of 2m with a maximum of 4m consecutive dilution when above 200m vertical depth and 2m consecutive dilution when below 200m vertical depth. Included high-grade intercepts are reported as any consecutive interval with grades greater than 10 g/t Au. Grades have not been capped in the averaging and intervals are reported as drill thickness. *Previously reported interval.

Queensway 650,000m Drill Program Update
The Company is currently undertaking a 650,000m drill program at Queensway and approximately 3,600m of core is currently pending assay results.
Sampling, Sub-sampling, and Laboratory
All drilling recovers HQ core. The drill core is split in half using a diamond saw or a hydraulic splitter for rare intersections with incompetent core.
A geologist examines the drill core and marks out the intervals to be sampled and the cutting line. Sample lengths are mostly 1.0 metre and adjusted to respect lithological and/or mineralogical contacts and isolate narrow (<1.0m) veins or other structures that may yield higher grades.
Technicians saw the core along the defined cutting line. One-half of the core is kept as a witness sample and the other half is submitted for analysis. Individual sample bags are sealed and placed into totes, which are then sealed and marked with the contents.
New Found has submitted samples for gold determination by fire assay to ALS Canada Ltd. (“ALS”) and by photon assay to MSALABS (“MSA”) since June 2022. As of February 2024, gold analysis at ALS has been performed by photon assay. ALS and MSA operate under a commercial contract with New Found.
Drill core samples are shipped to ALS for sample preparation in Sudbury, Ontario, Thunder Bay, Ontario, or Moncton, New Brunswick. ALS is an ISO-17025 accredited laboratory for the fire assay and photon assay methods.
Drill core samples are also submitted to MSA in Val-d’Or, Quebec. MSA operates numerous laboratories worldwide and maintains ISO-17025 accreditation for many metal determination methods. MSA is an ISO-17025 accredited laboratory for the photon assay method.
At ALS for fire assay, the entire sample is crushed to approximately 70% passing 2mm. A 3,000-g split is pulverized. “Routine” samples do not have visible gold (VG) identified and are not within a mineralized zone. Routine samples are assayed for gold by 30-g fire assay with an inductively-couple plasma spectrometry (ICP) finish. If the initial 30-g fire assay gold result is over 1 g/t, the remainder of the 3,000-g split is screened at 106 microns for screened metallics assay. For the screened metallics assay, the entire coarse fraction (sized greater than 106 microns) is fire-assayed, and two splits of the fine fraction (sized less than 106 microns) are fire-assayed. The three assays are combined on a weight-averaged basis. Samples that have VG identified or fall within a mineralized interval are automatically submitted for screened metallic assay for gold.
Samples submitted to ALS beginning in February 2024, received gold analysis by photon assay whereby the entire sample is crushed to approximately 70% passing 2 mm mesh. The sample is then riffle split and transferred into jars. For “routine” samples that do not have VG identified and are not within a mineralized zone, one (300-500g) jar is analyzed by photon assay. If the jar assays greater than 0.8 g/t, the remaining crushed material is weighed into multiple jars and submitted for photon assay.
For samples that have VG identified, the entire crushed sample is riffle split and weighed into multiple jars that are submitted for photon assay. The assays from all jars are combined on a weight-averaged basis.
At MSA, the entire sample is crushed to approximately 70% passing 2mm. For “routine” samples that do not have VG identified and are not within a mineralized zone, the samples are riffle split to fill one 450g jar for photon assay. If the jar assays greater than 0.8 g/t, the remaining crushed material is weighed into multiple jars and submitted for photon assay.
For samples that have VG identified, the entire crushed sample is weighed into multiple jars and submitted for photon assay. The assays from all jars are combined on a weight-averaged basis.
All samples prepared at ALS or MSA are also analyzed for a multi-element ICP package (ALS method code ME-ICP61) at ALS Vancouver.
Drill program design, Quality Assurance/Quality Control, and interpretation of results are performed by qualified persons employing a rigorous Quality Assurance/Quality Control program consistent with industry best practices. Standards and blanks account for a minimum of 10% of the samples in addition to the laboratory’s internal quality assurance programs.
Quality Control data are evaluated on receipt from the laboratories for failures. Appropriate action is taken if assay results for standards and blanks fall outside allowed tolerances. All results stated have passed New Found’s quality control protocols.
New Found’s quality control program also includes submission of the second half of the core for approximately 2% of the drilled intervals. In addition, approximately 1% of sample pulps for mineralized samples are submitted for re-analysis to a second ISO-accredited laboratory for check assays.
The Company does not recognize any factors of drilling, sampling, or recovery that could materially affect the accuracy or reliability of the assay data disclosed.
The assay data disclosed in this press release have been verified by the Company’s Qualified Person against the original assay certificates.
The Company notes that it has not completed any economic evaluations of its Queensway Project and that the Queensway Project does not have any resources or reserves.
Qualified Person
The scientific and technical information disclosed in this press release was reviewed and approved by Greg Matheson, P. Geo., Chief Operating Officer, and a Qualified Person as defined under National Instrument 43-101. Mr. Matheson consents to the publication of this press release dated April 10, 2024, by New Found. Mr. Matheson certifies that this press release fairly and accurately represents the scientific and technical information that forms the basis for this press release.
About New Found Gold Corp.
New Found holds a 100% interest in the Queensway Project, located 15km west of Gander, Newfoundland and Labrador, and just 18km from Gander International Airport. The project is intersected by the Trans-Canada Highway and has logging roads crosscutting the project, high voltage electric power lines running through the project area, and easy access to a highly skilled workforce. The Company is currently undertaking a 650,000m drill program at Queensway and is well funded for this program with cash and marketable securities of approximately $53.6 million as of April 2024.
Please see the Company’s website at www.newfoundgold.ca and the Company’s SEDAR+ profile at www.sedarplus.ca.
Acknowledgements
New Found acknowledges the financial support of the Junior Exploration Assistance Program, Department of Natural Resources, Government of Newfoundland and Labrador.
Contact
To contact the Company, please visit the Company’s website, www.newfoundgold.ca and make your request through our investor inquiry form. Our management has a pledge to be in touch with any investor inquiries within 24 hours.
New Found Gold Corp.
Per: “Collin Kettell”
Collin Kettell, Chief Executive Officer
Email: [email protected]
Phone: +1 (845) 535-1486
Neither the TSX Venture Exchange nor its Regulation Services Provider (as that term is defined in the policies of the TSX Venture Exchange) accepts responsibility for the adequacy or accuracy of this release.
Forward-Looking Statement Cautions
This press release contains certain “forward-looking statements” within the meaning of Canadian securities legislation, relating to exploration, drilling and mineralization on the Company’s Queensway gold project in Newfoundland and Labrador; assay results; the interpretation of drilling and assay results, the results of the drilling program, mineralization and the discovery of zones of high-grade gold mineralization; plans for future exploration and drilling and the timing of same; the merits of the Queensway project; future press releases by the Company; and funding of the drilling program. Although the Company believes that such statements are reasonable, it can give no assurance that such expectations will prove to be correct. Forward-looking statements are statements that are not historical facts; they are generally, but not always, identified by the words “expects”, “plans”, “anticipates”, “believes”, “interpreted”, “intends”, “estimates”, “projects”, “aims”, “suggests”, “demonstrates”, “encouraging”, “indicate”, “often”, “target”, “future”, “likely”, “pending”, “potential”, “goal”, “objective”, “prospective”, “possibly”, “preliminary”, and similar expressions, or that events or conditions “will”, “would”, “may”, “can”, “could” or “should” occur, or are those statements, which, by their nature, refer to future events. The Company cautions that forward-looking statements are based on the beliefs, estimates and opinions of the Company’s management on the date the statements are made, and they involve a number of risks and uncertainties. Consequently, there can be no assurances that such statements will prove to be accurate and actual results and future events could differ materially from those anticipated in such statements. Except to the extent required by applicable securities laws and the policies of the TSX Venture Exchange, the Company undertakes no obligation to update these forward-looking statements if management’s beliefs, estimates or opinions, or other factors, should change. Factors that could cause future results to differ materially from those anticipated in these forward-looking statements include risks associated with possible accidents and other risks associated with mineral exploration operations, the risk that the Company will encounter unanticipated geological factors, risks associated with the interpretation of assay results and the drilling program, the possibility that the Company may not be able to secure permitting and other governmental clearances necessary to carry out the Company’s exploration plans, the risk that the Company will not be able to raise sufficient funds to carry out its business plans, and the risk of political uncertainties and regulatory or legal changes that might interfere with the Company’s business and prospects. The reader is urged to refer to the Company’s Annual Information Form and Management’s discussion and Analysis, publicly available through the Canadian Securities Administrators’ System for Electronic Document Analysis and Retrieval (SEDAR+) at www.sedarplus.ca for a more complete discussion of such risk factors and their potential effects.

